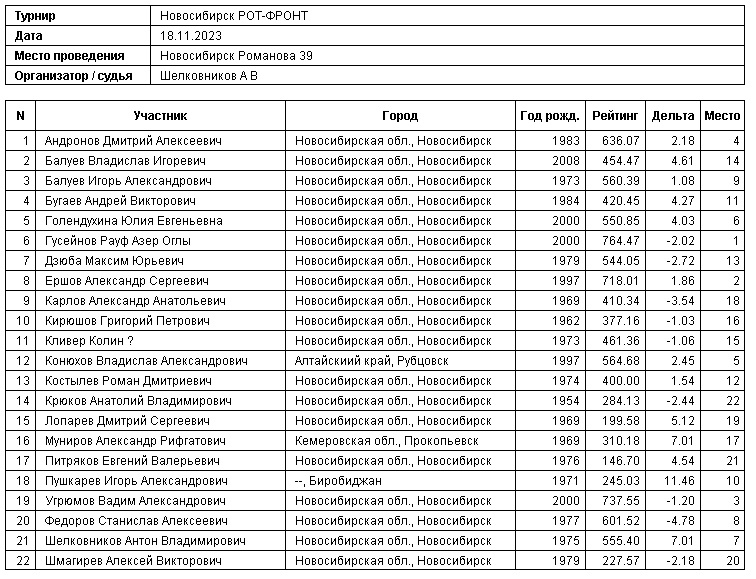
18.11.2023 г., РОТ-ФРОНТ