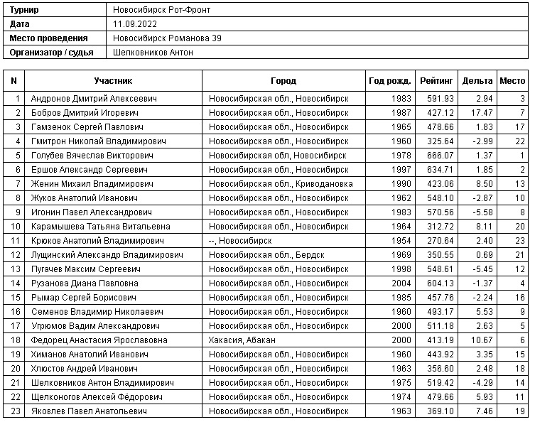
11.09.2022г., Рот-Фронт