Jump to navigation
Клуб на Романова
Клуб в Граните
г. Новосибирск,
ул. Романова 39,
БЦ «Солярис», 5 этаж.
8 (383) 375-46-55
8 (923) 155-96-55
Главная
О Клубе
История
Техника
Хватка теннисиста
Стойка
Подача
Вращение мяча
Видео
Тренеры
Положения о соревнованиях
Результаты соревнований
Таблицы любительских турниров
Магазин
Цены
Новости
Статьи
Галерея
Календарь соревнований
Контакты
Главная
О Клубе
Цены
Новости
Статьи
Галерея
Календарь соревнований
Контакты
Вы здесь
Главная
›
О Клубе
›
Результаты соревнований
›
Турнир до 450, 02.07.2022
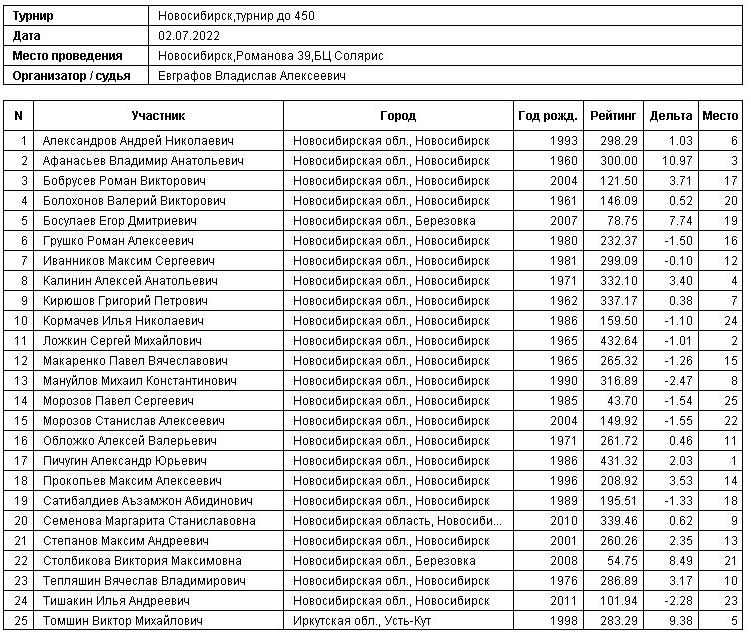
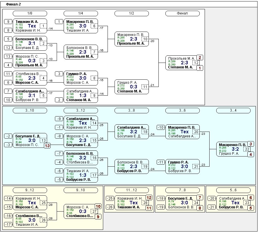
Турнир до 450, 02.07.2022
Опубликовано
07.07.2022
пользователем
user